World Database of Nematodes
Linked to the Marine Biology Section, UGent
login
Start
Browse
taxonomy
Search
taxonomy
Search
literature
Search
distributions
Identification
keys
Media gallery
Editors
Statistics
Citations
Match taxa
Contact
Login
Media Gallery
Media Gallery
»
Nematoda (roundworms)
»
Publication snippets
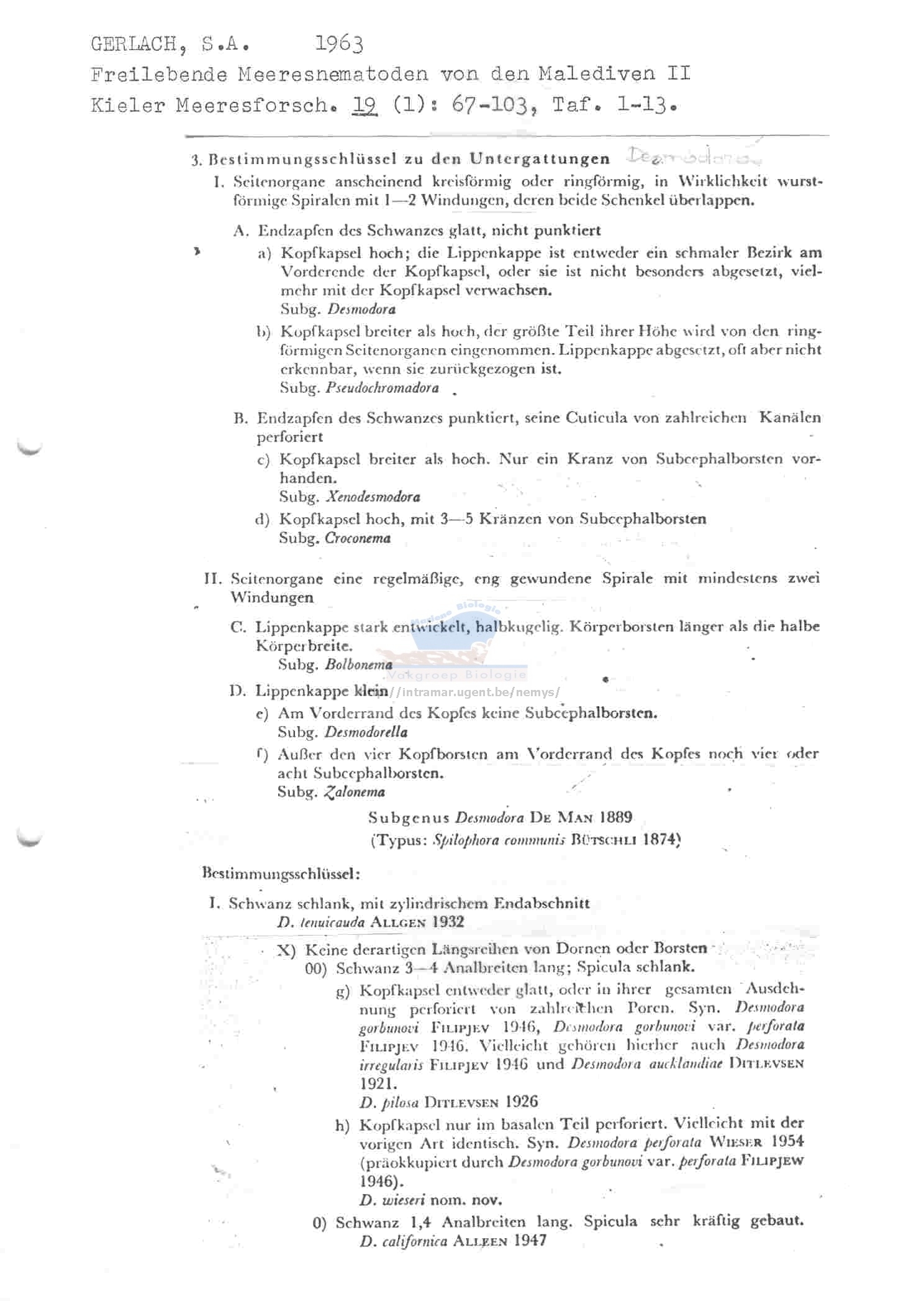
Desmodora
Description
Nematode file-library of the Marine Biology Section (Ghent University, Belgium)
JPG file
- 558.47 kB
- 1 488 x 2 093 pixels
added on 2004-10-18
1 846 views
Nemys taxa
Scan of literature (text)
Desmodora
de Man, 1889
checked Vanaverbeke, Jan 2014-04-10
From reference
(S.d.). Nematode filing cabinet of the Marine Biology Sec...
Download full size
This work is licensed under a
Creative Commons Attribution-NonCommercial-ShareAlike 4.0 International
License
Click
here
to return to the thumbnails overview
This service is powered by LifeWatch Belgium
Learn more»
Web interface and database structure initially created by
Tim Deprez
; now hosted and maintained by
VLIZ
Page generated 2026-01-20 · contact:
Tânia Nara Bezerra
or
info@marinespecies.org